四川省科学技术厅公示!涉多所高校、单位
2025-06-25 18:47:00
四川发布
四川发布客户端消息
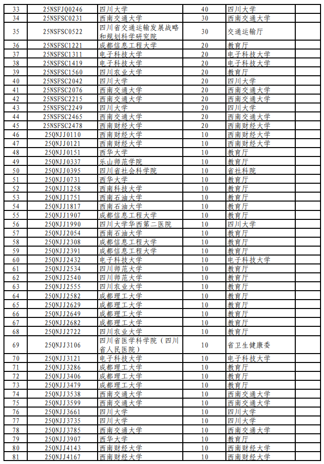
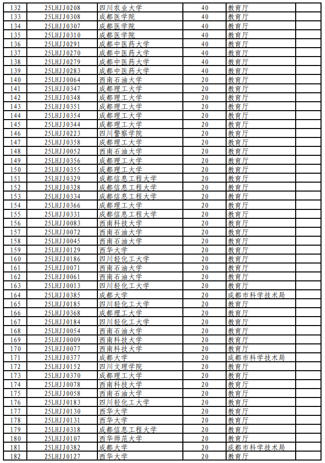
6月24日,四川省科学技术厅公示2025年省级科技计划、中央引导地方科技发展专项、农业科技成果转化项目,公示时间为2025年6月24日—6月30日。
一起来看看
↓
相关报道
四川,你是懂今夏流行色的!
四川省地震局启动珙县4.5级地震四级应急响应
四川发布3起破坏耕地典型案例
安宁河谷,沃土新生|第35个全国土地日
【城里乡间新画卷】温江区:激活科创引力 蝶变田园经济
©2020 四川发布 版权所有 转载须经授权